在GIS应用项目进行中,控制活动要贯穿于整个项目的始终, 才不至于在项目完成后出现严重的质量以及时间问题。 而在项目的每一个阶段、或者整个完成之后,进行事后分析和评估可以更好地了解项目进展中的问题, 对项目参与人员进行评定,为下一阶段或者以后类似项目组织管理作为参考依据。 从一定意义上来讲,进行评估是实施项目控制的有效途径。
通常,进行事后分析和评估的对象包括:
程序:数量和质量;
数据:数量和质量;
参与人员:工作时间和效率;
资金:使用情况和使用效率;
设备:占用情况和效率。
在对上述因素进行分析和评估时,要尽可能使用定量的方法,一方面数量能更准确地说明项目进展和存在的问题; 另一方面,采用数量也便于进行横向和纵向的对比。 横向对比是指项目中各个小组,甚至不同人员的对比,纵向对比是指项目的不同阶段或不同项目之间的对比。
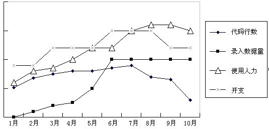
分析评估的结果可以以表格、统计图的形式直观的表现(表15-6,图15-10), 项目管理人员可以根据结果评估工作进展,发现问题,并在下一步的工作中进行改正。
表15-6:XX项目第一阶段(1999年1月-1999年10月)工作分析结果
项目 | 数值 |
|---|---|
程序
数据
人员
资金
| 78532 130 1.65处/千行 78兆 0.12毫米 290兆 83% 140人月 8.2万元 |
表15-6列出了从总量上对项目中各个要素分析的结果,可以作为计算项目阶段成本、效率的依据; 而图15-10更好的说明了项目的进展状况,可以使管理者方便地发现项目进展顺利和不顺利的时间段, 并进而发现其原因,作为下一阶段工作管理的依据。 而整个项目的分析图表可以被复用于下一个类似的项目,进行成本——效益分析和进度安排。 图 15.9 通过不同指标反映项目的进展状况 # 