发布日期 : 2025-12-17 01:41:45 UTC
分类 : 电子计算
访问量: 849 次浏览
抗感:简单来说,当线圈中有电流通过时,就会在线圈中形成感应电磁场, 而感应电磁场又会在线圈中产生感应电流来抵制通过线圈中的电流。 因此,我们把这种电流与线圈之间的相互作用称其为电的感抗,也就是电路中的电感。
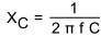
容抗:交流电是能够通过电容的,但是将电容器接入交流电路中时, 电容器极板上所带电荷对定向移动的电荷具有阻碍作用, 物理学上把这种阻碍作用称为容抗,用字母Xc表示。 所以电容对交流电仍然有阻碍作用,交流电容易通过电容, 说明电容量大,电容的阻碍作用小;交流电的频率高,交流电也容易通过电容, 说明频率高,电容的阻碍作用也小。



